刀具材料:熔煉高速鋼(普通高速鋼,高性能高速鋼),粉末冶金高速鋼,硬質合金
刀齒型式:直齒,斜齒
鍵槽結構:單側端面鍵,雙側端面鍵,刀齒對中鍵槽,刀槽對中鍵槽,不對中
刀具結構:盤形,碗形,錐柄,直柄、筒形外齒,筒形內齒
刀具標準:GB/T6082;DIN1829
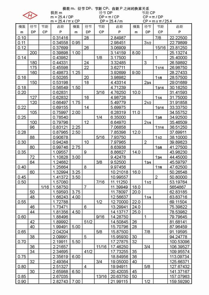
模數范圍:m0.1 ~ m28的模數制m;徑節制DP;節距制CP
m0.1 ~ m28可做高速鋼插齒刀
m0.1 ~ m6可做整體硬質合金插齒刀
m2 ~ m28可做硬質合金刮削插齒刀
螺 旋 角:±45°
適用范圍:外齒輪,內齒輪
切削場合:濕切,干切; 軟切,硬切; 高速,高效
漸開線齒輪插齒刀:
刀齒齒形:凸角、修緣、倒角、齒頂全圓弧、修形、全切等;及其上述任意組合齒形
斜齒輪斜齒插齒刀(Fellows型),人字齒輪斜齒插齒刀(Sykes型)
非漸開線齒輪插齒刀:
三角花鍵插齒刀,矩形花鍵插齒刀,鏈輪插齒刀,帶輪插齒刀,圓弧插齒刀,擺線齒輪插齒刀,……
合金刮削插齒刀
整體硬質合金插齒刀
并齒插齒刀
去齒插齒刀

問題一:隨插齒刀的復磨,被插切齒輪齒根圓直徑大小是變化的
1、按理論說,在插切出規定的分度圓齒厚時,應保證齒輪也達到設計的理論全齒高,以使在齒輪嚙合時,具有理論的徑向間隙。
2、插切齒輪的插齒刀與齒輪的嚙合關系是角變位嚙合。其中心距的變動量小于插齒刀與被插齒輪變位量之和m(X1+X0)。
3、但插齒刀插切齒輪時,上述兩項要求不能同時保證。
插切外齒輪時,有兩種插切調整插齒機方法:
1、全齒高合格法:插齒刀的徑向插切深度等于齒輪理論全齒高時,被插齒輪得到理論的徑向間隙。但這時的齒輪分度圓齒厚將大于理論值。
2、分圓齒厚合格法:插齒刀的徑向插切深度到一定齒高時,被插齒輪得到理論的分度圓齒厚。但這時的齒輪實際全齒高將大于理論全齒高,增加了徑向間隙。
插切內齒輪時,有兩種插切調整插齒機方法:
1、全齒高合格法:插齒刀的徑向插切深度等于齒輪理論全齒高時,被插齒輪得到理論的徑向間隙。但這時的齒輪分度圓齒厚將小于理論值。
2、分圓齒厚合格法:插齒刀的徑向插切深度到一定齒高時,被插齒輪得到理論的分度圓齒厚。但這時的齒輪實際全齒高將小于理論全齒高,減小了徑向間隙。
實際插齒工藝采用的是分圓齒厚合格插齒法。得到的結果:
1、被插外齒輪,實際齒根圓直徑總是小于理論值,及實際全齒高大于理論全齒高。
2、被插內齒輪,實際齒根圓直徑總是小于理論值,及實際全齒高小于理論全齒高。
問題二:隨插齒刀的復磨,被插切齒輪齒頂部的倒角量(修緣量)大小是變化的
1、倒角插齒刀的齒形是由齒形基本漸開線和倒角漸開線兩部分構成。理論上插齒刀側面的這兩個漸開線螺旋面的交線是一條曲線。而實際制造插齒刀時,是不可能做到。只能用一條直線近似替代。
2、隨插齒刀的復磨,插齒刀外徑變小,插齒刀的徑向變位系數變小;插齒時,中心距變小,插齒刀和齒輪間的嚙合角變大。
3、假如要使被插齒輪的倒角量大小不變,即倒角起始圓直徑要求不變。只有插齒刀的兩漸開線交點直徑是隨著按曲線變化的,才能實現。但這樣的插齒刀是無法磨削制造的。
4、實際的插齒刀設計和制造的兩側面漸開線交線是一條直線替代的。這樣,插切出的齒輪倒角量的大小是變化的。
問題三、涂層插齒刀的復磨和復涂工藝過程注意事項
⑴ 復磨和褪涂的工藝過程是:首先是褪掉上次的涂層,再磨除前刀面和后刀面的磨損,然后復涂層。
⑵ 注意此工藝過程不能顛倒!
⑶ 假如帶涂層插齒刀不褪涂直接復磨,因為涂層和插齒刀基體的熱傳導率不同,基體材料傳導熱快,受熱后體積容易脹大;而涂層都是阻熱材料,熱傳導率差,熱傳導慢。這樣,已磨損的插齒刀前刀面和后刀面基體外露部分,已無涂層,和還存在涂層的部分;在磨削時,造成兩部分的熱傳導不均勻,膨脹不均勻,容易造成熱局部集中,基體材料組織內產生熱應力釋放,局部容易產生微細熱裂紋,尤其是在插齒刀齒根圓弧部位。目前,褪涂層的方法是使用化學藥水浸泡法,把刀具上涂層化學反應褪除。如果插齒刀上存在微細裂紋,藥水容易進入微細熱裂紋中,對基體長時間(一般浸泡時間都在1小時左右)作用后,會腐蝕基體,造成裂紋擴展,或出現基體鈷元素析出,造成鈷流失。物理涂層(PVD)溫度是在500℃左右,進爐時間約10小時,如果插齒刀上存在微細裂紋,在高溫長時間作用下,裂紋處容易擴展和存在相反方向的排斥應力。這樣,插齒刀在插切過程中,容易出現掉齒、崩刃、打刀等損壞問題。見下圖。
人字齒輪斜齒插齒刀(Sykes型)

斜齒輪斜齒插齒刀(Fellows型)

帶端面鍵斜插齒刀

小插齒刀


并齒插齒刀;小模數插齒刀

筒形內齒插齒刀

鏈輪插齒刀(非漸開線齒輪插齒刀)

三角花鍵插齒刀(非漸開線齒輪插齒刀)

矩形花鍵插齒刀(非漸開線齒輪插齒刀)
|